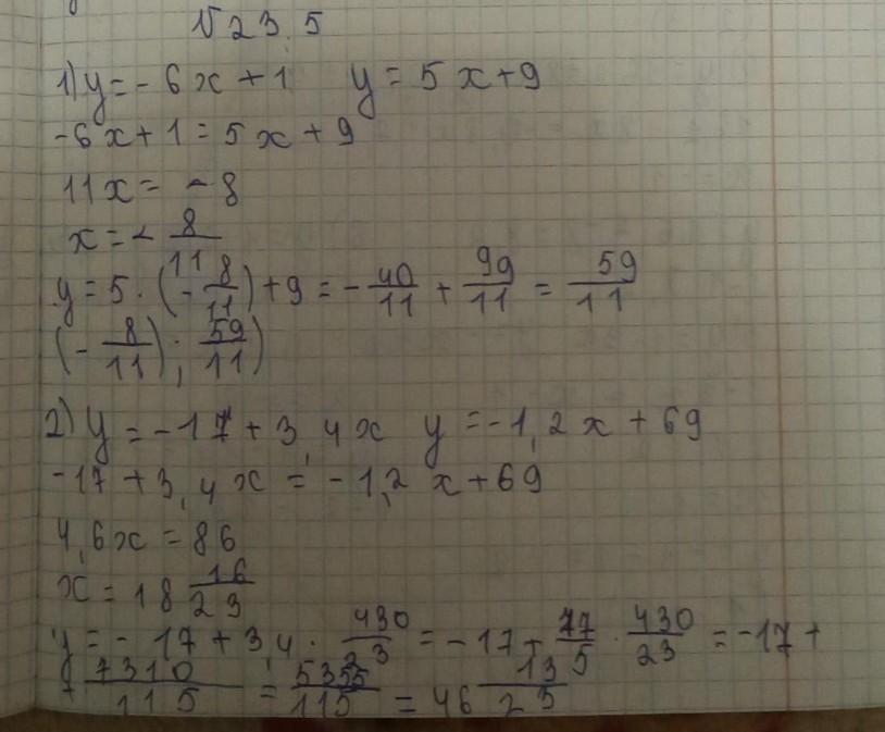
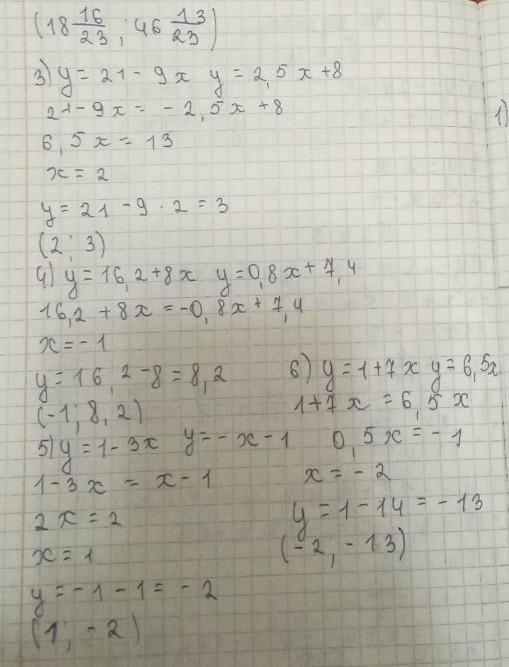
Номер 23.5, найдите координаты точек пересечения график функций:
1) у = -6х +1 и y = 5х + 9;
2) у = -17 + 3,4х иу=-1,2х + 69;
3) у = 21 – 9х и у = -2,5х + 8;
4) y = 16,2 + 8х иу = -0,8х + 7,4;
5) y = 1 – 3х и у=-х – 1;
6) y = 1 + 7х иу = 6,5х.
начертите график желатьельно с фото, пожалуйста помогите очень срочно даю 50б.
ответ нужен сегодня!!!
и пожалуйста не пешите всякий бред!
кто будет писать ерунду забаню и кину в спам!
помогит очень срочно!!!!!!!
и самое главное это начертить график функций!!!
polinalihanova84:
с фотоооо!!!!
Ответы
Ответ дал:
1
вот надеюсь помогла .........
Приложения:


Вас заинтересует
2 года назад
2 года назад
3 года назад
3 года назад
8 лет назад
8 лет назад
9 лет назад