• Предмет: Геометрия
  • Автор: 01аля10
  • Вопрос задан 11 лет назад

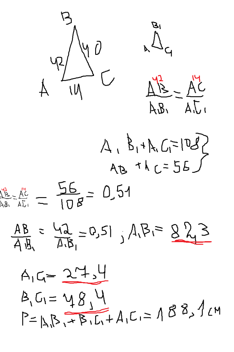
Стороны треугольника равны 14 см, 42 см и 40 см. Найти периметр 
подобного ему треугольника, сумма наибольшей и наименьшей сторон которого 
равна 108 см

Ответы

Ответ дал: Sanyasha
0
Ответ: периметр равен 188.1 см.

Приложения:
Ответ дал: 01аля10
0
Спасибо, спасибо)
Вас заинтересует