• Предмет: Алгебра
  • Автор: okokokokoks
  • Вопрос задан 7 лет назад


Пожалуйста помогите^^

Отдам 60 баллов.
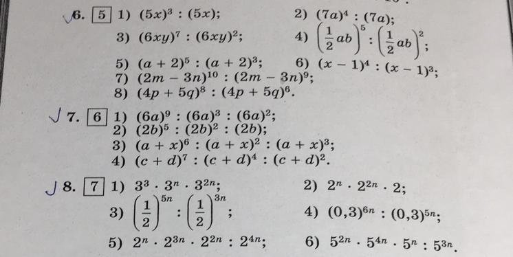
Решите номера 6,7 и 8

Приложения:

Ответы

Ответ дал: Аноним
0

Объяснение:

при делении степени отнимаются, а при умножении складываются

Приложения:
Вас заинтересует