Ответы
Ответ дал:
1
Ответ:
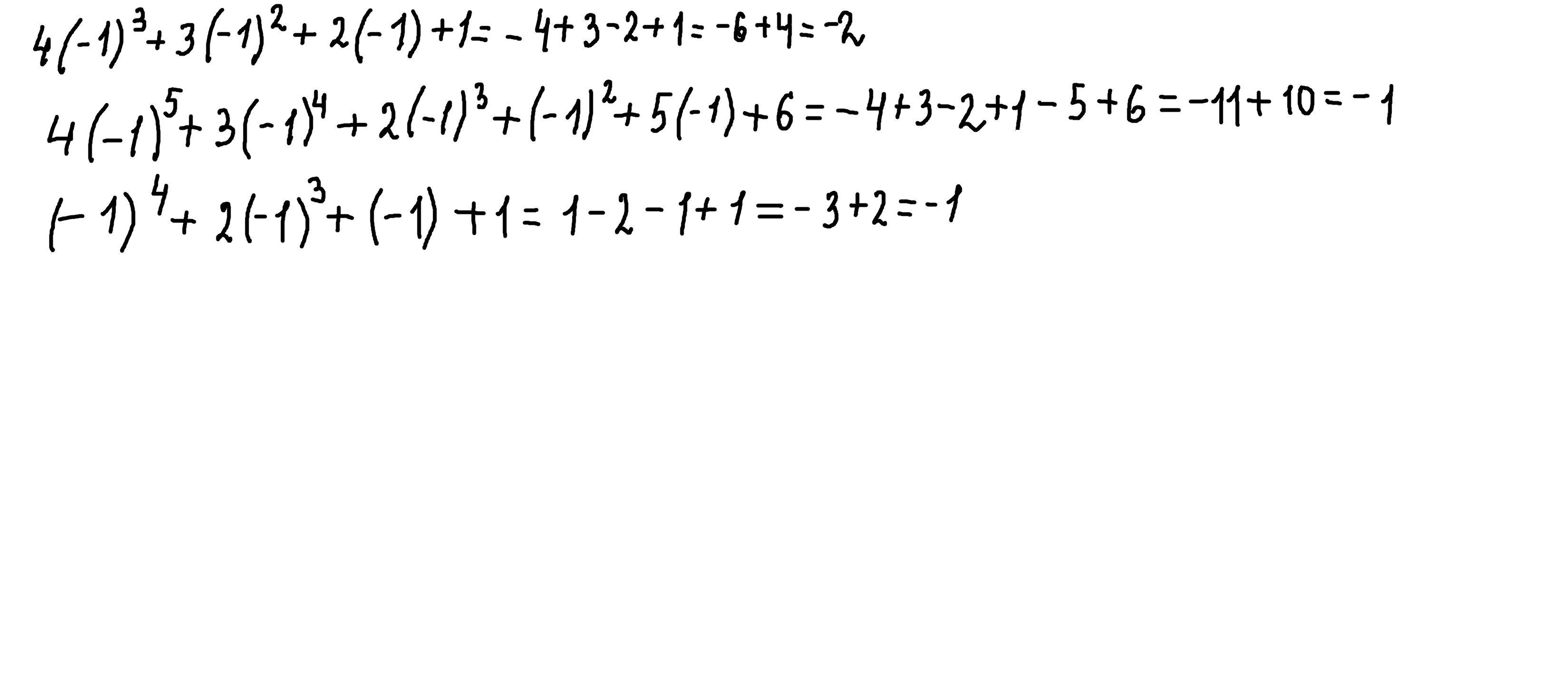
а) -4+3-2+1= -2
б) -4+3-2+1-5+6= -1
в) 1-2-1+1= -1
Объяснение:
там где степень не четная, знак минуса сохраняется, а там где четная сокращается
пример
4х^3 = 4×(-1)×(-1)×(-1)= 4×1×(-1) = 4×(-1)= -4
4х^2 = 4×(-1)×(-1)=4×1=4
dsnicolaygusev4:
блин вот честно говоря также думал, но меня тревожат сомнения что не верно
Ответ дал:
2
Ответ:
Объяснение:
(-1) в четной степени равно 1
(-1) в нечетной степени равно (-1)
Приложения:

Вас заинтересует
2 года назад
3 года назад
3 года назад
8 лет назад
8 лет назад
9 лет назад