Ответы
Ответ дал:
0
~~~~~~~~~~~~~~~~~~~~
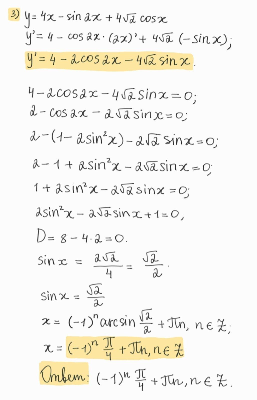
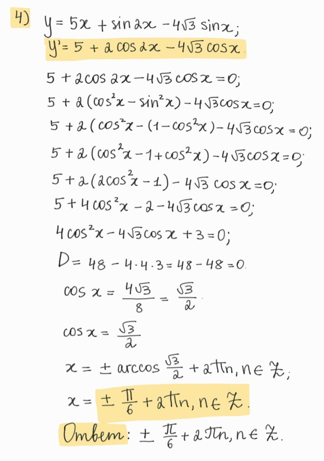
Приложения:


anik200579:
вас просят нормально ответить на вопросы в профиле без ссылки а вы вообще о другом говорите
Вас заинтересует
2 года назад
2 года назад
3 года назад
8 лет назад
9 лет назад