• Предмет: Алгебра
  • Автор: lazeron09
  • Вопрос задан 7 лет назад

❗❗❗ДАЮ 50 БАЛЛОВ❗❗❗
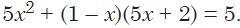
Розв’яжіть рівняння:

Приложения:

Ответы

Ответ дал: welrony
1

Ответ:

1

Объяснение:

5х² + (1-х)(5х+2) -5 = 0

5х² + 5х+2-5х²-2х-5=0

5х+2-2х-5=0

3х+2-5=0

3х=5-2

3х=3

х=1

Вас заинтересует