Пожалуйста решите только 6 7 8 9
Приложения:

Zombynella:
По правилам сайта нельзя выкладывать в одном задании больше 3 вопросов (примеров). Потом модераторы удаляют и ваши задания, и наши решения, баллы снимают. Делите на части.
Ответы
Ответ дал:
1
Ответ:
остальные не понятные)
Приложения:

Ответ дал:
0
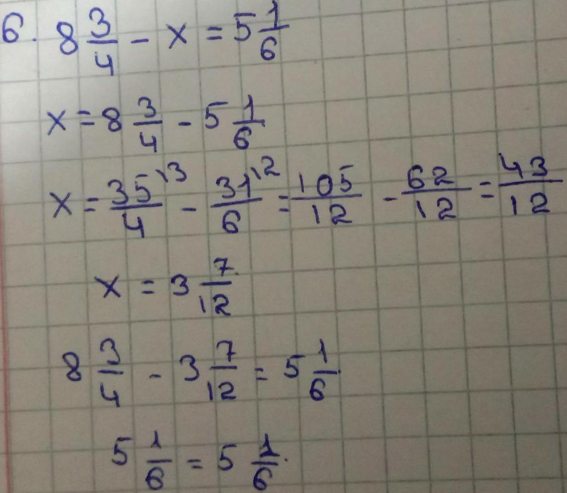
6)8,3/4-х=5,1/6
Х=8,3/4-5,1/6
Х=3,7/12
7)3/12<1/3 1/5<8/15<2/3
8)х=7,1/2-4,7/60=3,23/60
Х=3,23/60+2,7=5,75/60=6,15/60
9)15×0,6=9/15-в первом
15/15-(9/15+4/15)=2/15-в третьем
Вас заинтересует
2 года назад
2 года назад
3 года назад
8 лет назад
9 лет назад