• Предмет: Алгебра
  • Автор: Muculman134
  • Вопрос задан 7 лет назад

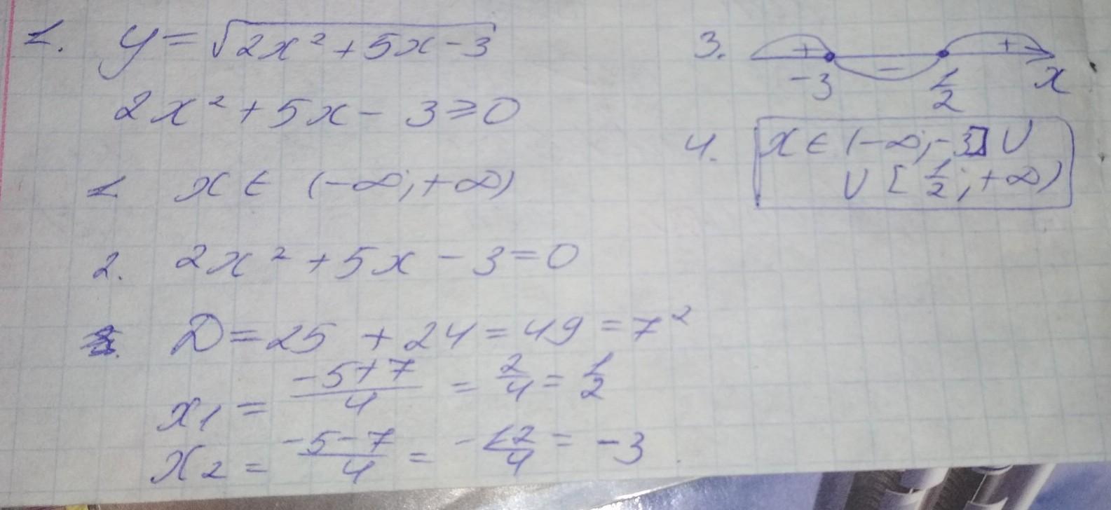
Ничего не смог понять.

Приложения:

Аноним: 1 или второе надо?
Muculman134: Да
Аноним: оба...?
Muculman134: Ну хоть первое. Я тупо уже просидел на учебником часа два ничего не понял.

Ответы

Ответ дал: kapysva
1

Ответ:

Всі відповіді на фотках)

Приложения:

Muculman134: Чтобы я делал без этого сайта.
Muculman134: А, да спасибо )))))
Вас заинтересует