• Предмет: Геометрия
  • Автор: Karina35076
  • Вопрос задан 7 лет назад

Срочноооооооо!!!!


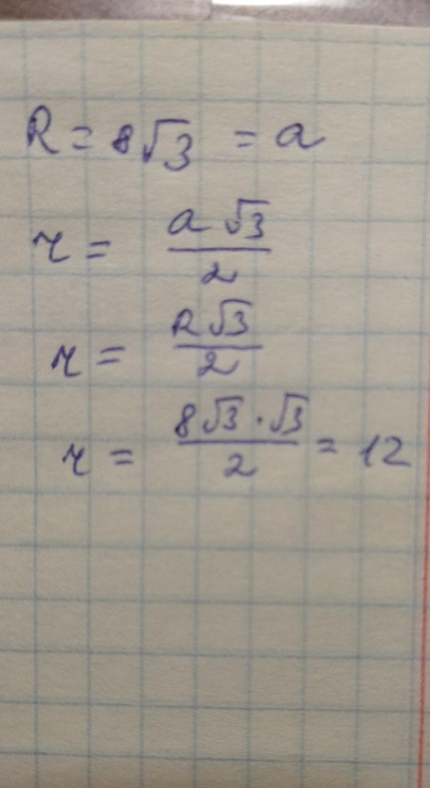
Радіус кола описаного навколо правильного шестикутника 8√3. Знайти сторони і радіус вписаного кола​

Ответы

Ответ дал: dashulka22222
0

Ответ:

Сторона дорівнює радіусу описаного кола

Приложения:
Вас заинтересует