• Предмет: Алгебра
  • Автор: deebb
  • Вопрос задан 7 лет назад

Решить задание :
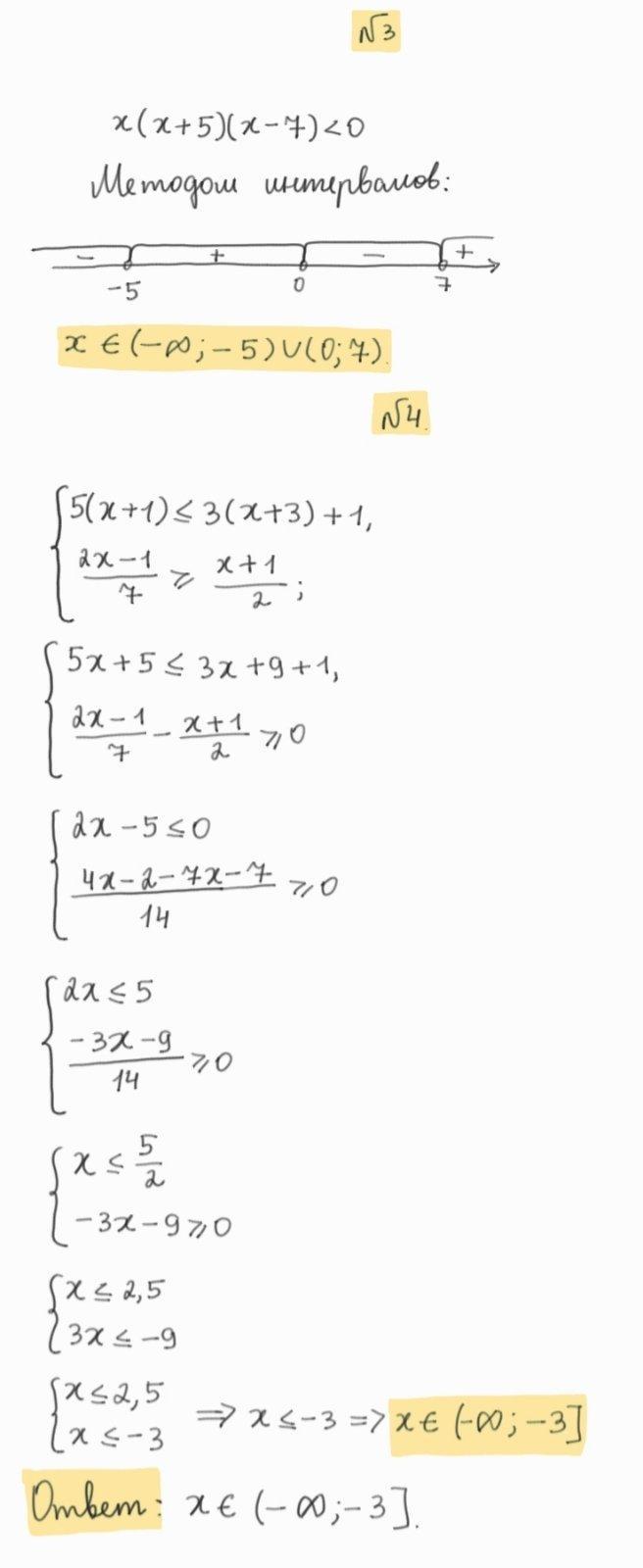
Оно на картинке​

Приложения:

Ответы

Ответ дал: Kierra
1

~~~~~~~~~~~~~~~~~~~~

Приложения:
Ответ дал: bb573878
1

Ответ:

Объяснение:

\displaystyle\\x(x+5)(x-7)<0\\\\znaki:~---(-5)+++(0)---(7)+++>x\\\\Otvet:x\in(-\infty;-5)\cup(0;7)\\\\\\\left \{ {{5(x+1)\leq 3(x+3)+1~~~~~~} \atop {\dfrac{2x-1}{7}\geq \dfrac{x+1}{2}~~~~~~~~~~|\cdot14}} \right. \Leftrightarrow\left \{ {{5x+5\leq 3x+9+1} \atop {4x-2\geq  7x+7}} \right. \\\\\\\left \{ {{5x-3x\leq 10-5} \atop {7x-4x\leq -2-7 }} \right.  \Leftrightarrow\left \{ {{2x\leq 5} \atop {3x\leq -9}} \right. \Leftrightarrow\left \{ {{x\leq 2,5} \atop {x\leq -3}} \right. ~~~~~~~~\boxed{x\leq -3}\\\\\\

\boldsymbol{Otvet:x\in(-\infty;-3]}

Вас заинтересует