• Предмет: Алгебра
  • Автор: bescrovniykirill
  • Вопрос задан 7 лет назад

Выполнить умножение одночленов:

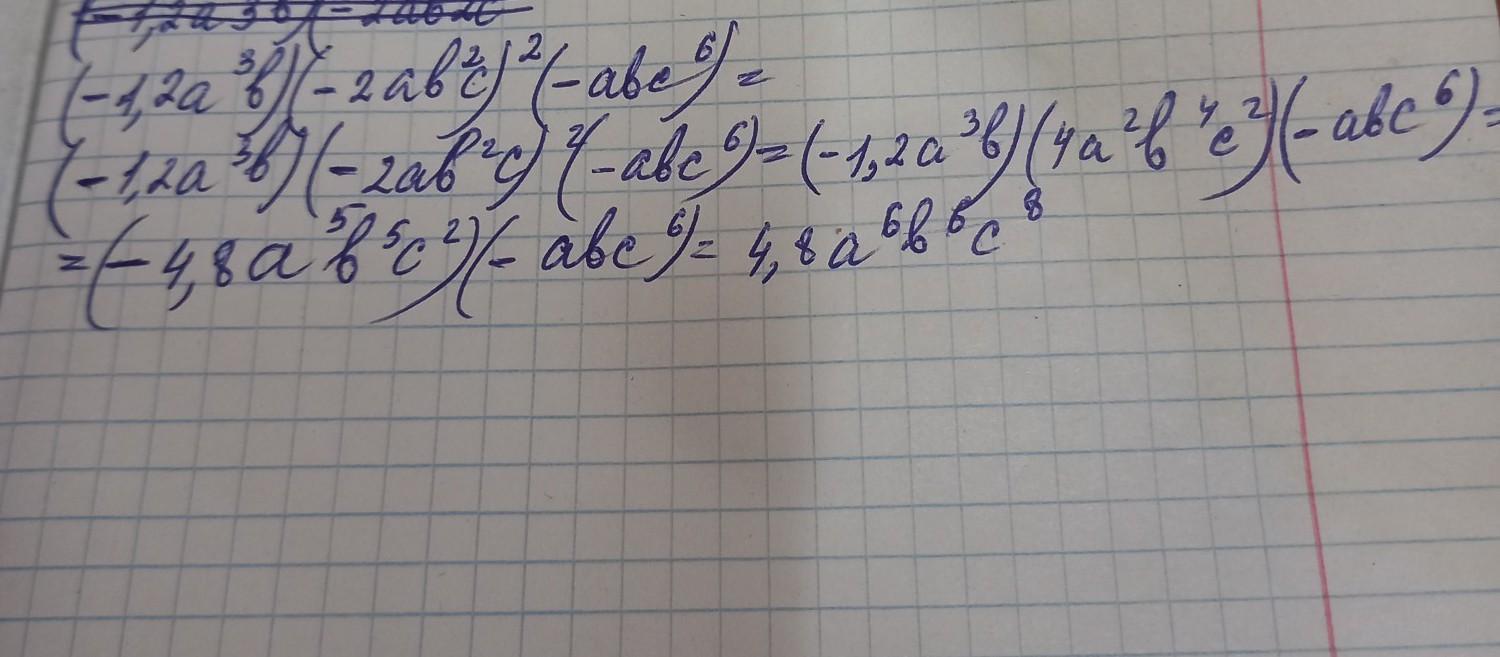
(- 1,2a3b) · (-2ab2c)2 · (-abc6)

Ответы

Ответ дал: Dmitry1986
1

Вложение фото решения, ответа.

Приложения:
Ответ дал: Пеппер
0

Ответ:

4,8a⁶b⁶c⁸

Объяснение:

(- 1,2a³b) · (-2ab²c)² · (-abc⁶) = - 1,2a³b · 4а²b⁴c² * (-abc⁶) = 4,8a⁶b⁶c⁸

Вас заинтересует