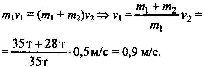
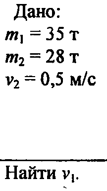
железнодорожный вагон массой 35т подъезжает к стоящему на том же пути неподвижному вагону массой 28т и автоматически сцепляется с ним.После сцепки вагоны движутся прямолинейно со скоростью 0,5 м/c. какова была скорость вагона массой 35т перед сцепкой.
Ответы
Ответ дал:
0
))))))))))))))))))))))
Приложения:
Вас заинтересует
3 года назад
3 года назад
8 лет назад
8 лет назад
11 лет назад
11 лет назад
11 лет назад