• Предмет: Геометрия
  • Автор: palkaam
  • Вопрос задан 7 лет назад

помогите пжпжпж дам 140 баллов

Приложения:

palkaam: помоги пожалуйста
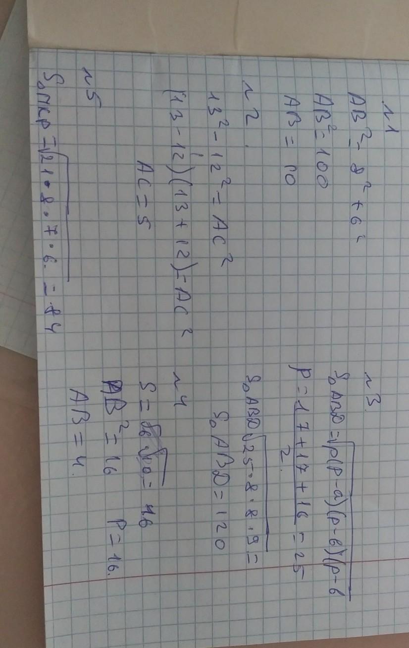
Аноним: 1) АВ=√(АС²+СВ²)=√(6²+8²)=10
Аноним: 2) СА=√(13²-12²)=5
palkaam: аоаоаоа спасибо большое
Аноним: 3) СА=√(17²-8²)=15; ВД=2*8=16;. S=1*2*CA*ВД=1/2*15*16=120
Аноним: 4) АВ=√((√10)²+(√6)²)=√16=4; Р=4*АВ=4*4=16
palkaam: лучший или лучшая ,спасибки
Аноним: 4) S(ABCD)=1/2*АО*ВО*4=1/2*√10*√6*4=2*√60=4√15
palkaam: сможешь еще с одним помочь там уже 1 вариант?
Аноним: 5) либо Герон; либо треугольник (13;14;15) делиться высотой проведённой к стороне 14 на два прямоугольных треугольника со сторонами (13;5;12) и (15;12;9) S=1/2*12*5+1/2*12*9=30+54=84

Ответы

Ответ дал: trostn123
1

Ответ:

на фото все ответы.........

Приложения:
Ответ дал: retrter
0

Ответ:

1) AB=10 (Теор.Пиф)

2)AC = 5 (Теор.Пиф)

3)120( Находим высоту по теор.пиф,умножаем BC на два,умножаем основание на высоту и делим на 2)

5)84 ( по формуле Герона)

Объяснение:

Вас заинтересует