• Предмет: Алгебра
  • Автор: Аноним
  • Вопрос задан 7 лет назад

Помогите решить задачи пожалуйста ​

Приложения:

Ответы

Ответ дал: m11m
1

Ответ:

Объяснение:

!!!!!!!!!!!!!!!!!!!!!!!!!!

Приложения:

Аноним: спасибо большое
Ответ дал: sangers1959
1

Объяснение:

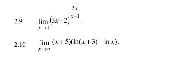
2.9

\lim_{x \to 1} (3x-2)^\frac{5x}{x-1}.\\ \lim_{x \to1}e^{ln(3x-2)^\frac{5x}{x-1}} = \lim_{x \to 1} e^{\frac{5x}{x-1}*ln(3x-2)}=e^{ \lim_{x \to 1} \frac{5x}{x-1}*ln(3x-2)}.

Рассмотрим:

\lim_{x \to 1}{\frac{5x}{x-1}*ln(3x-2)}= \lim_{x \to 1}5x* \lim_{x \to 1} \frac{ln(3x-2)}{x-1} =5* \lim_{x \to1} \frac{(ln(3x-2))'}{(x-1)'} =\\=5* \lim_{x \to 1} \frac{(3x-2)'}{(3x-2)*1}  =5* \lim_{x \to 1} \frac{3}{3x-2} =\frac{5*3}{3*1-2} =\frac{15}{1} =15.\ \ \ \ \ \Rightarrow\\ \lim_{x \to 1} (3x-2)^\frac{5x}{x-1}=e^{15}.

Ответ: e¹⁵.

2.10

\lim_{x \to \infty} (x+5)*(ln(x+3)-lnx)= \lim_{x \to \infty} \frac{ln(x+3)-lnx}{\frac{1}{x+5} } = \lim_{x \to \infty} \frac{(ln(x+3)-lnx)'}{(\frac{1}{x+5})' } =\\= \lim_{x \to \infty} \frac{\frac{1}{x+3}-\frac{1}{x}  }{\frac{1'*(x+5)-1*(x+5)'}{(x+5)^2} }  = \lim_{x \to \infty}  \frac{\frac{x-x-3}{x*(x+3)} }{\frac{-1}{(x+5)^2} }=\lim_{x \to \infty}  \frac{\frac{-3}{x*(x+3)} }{\frac{-1}{(x+5)^2} }=  \lim_{x \to \infty} \frac{3*(x+5)^2}{x^2+3x}  =\\

=3* \lim_{x \to \infty} \frac{(x+5)^2}{x^2+3x}  =3* \lim_{x \to \infty} \frac{((x+5)^2)'}{(x^2+3x)'}  =3* \lim_{x \to \infty} \frac{2*(x+5)*1 }{2x+3} =\\= 3*\lim_{x \to \infty} \frac{2x+10}{2x+3} =3* \lim_{x \to \infty}\frac{\frac{2x}{x}+\frac{10}{x}  }{\frac{2x}{x}+\frac{3}{x}  }  =3*\frac{2}{2} =3*1=3.

Ответ: 3.

Приложения:

Аноним: спасибо большое
Вас заинтересует