• Предмет: Алгебра
  • Автор: islammm00524
  • Вопрос задан 7 лет назад

ПОЖАЛУЙСТА МЕНЯ ОТЕЦ ЩЯС УБЬЕТ ПОМОГИТЕ



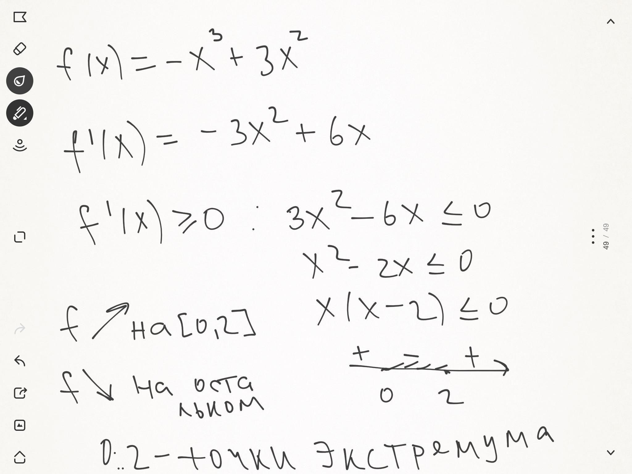
исследовать функцию на монотонность и экстремумы f(x)=-x³+3x² ​


Аноним: Маловато балов
islammm00524: пж
islammm00524: помгите
islammm00524: я дам все свои
islammm00524: только помогите
Аноним: Ок ща
islammm00524: спасибо большое
islammm00524: брат
islammm00524: а внизу где 0 и 2 там точки?
Аноним: 0,2

Ответы

Ответ дал: Аноним
1

Ответ:

На фото

Объяснение:

Приложения:

islammm00524: а где 0 и 2 там точки?
islammm00524: внизу
Вас заинтересует