• Предмет: Алгебра
  • Автор: VarenikPo
  • Вопрос задан 7 лет назад

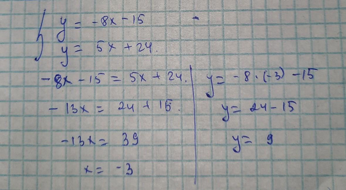
помогите пожалуйста решить уравнение

Приложения:

Ответы

Ответ дал: youngtahiero
0

Ответ:

вот ответ посмотри досконально узнай.

Приложения:
Вас заинтересует