• Предмет: Математика
  • Автор: Sasadoencev
  • Вопрос задан 7 лет назад

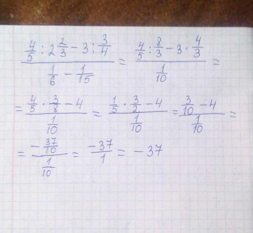
526 вычисли помогите пжжжжж дам 50 баллов​

Приложения:

Ответы

Ответ дал: Elena3982
1

Пошаговое объяснение:

Держи свой ответ........

Приложения:

Sasadoencev: спс
Elena3982: Пожалуйста.
Sasadoencev: ☝️☝️☝️☝️☝️
Вас заинтересует