Ответы
Ответ дал:
0
Ответ:
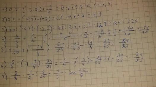
на фото удачи как и я сказал решил до 7
сделай мой ответ лучшим пажеееееее умаляю и я некопировал
Приложения:

Аноним:
спс
Вас заинтересует
2 года назад
3 года назад
3 года назад
8 лет назад
8 лет назад
9 лет назад