3. Известно, что уравнения х² - x– 72 =0, имеет корни x1 и x2 используя т. Виета найдите:
X1²+X2²
Приложения:

Ответы
Ответ дал:
33
Ответ:
Объяснение:
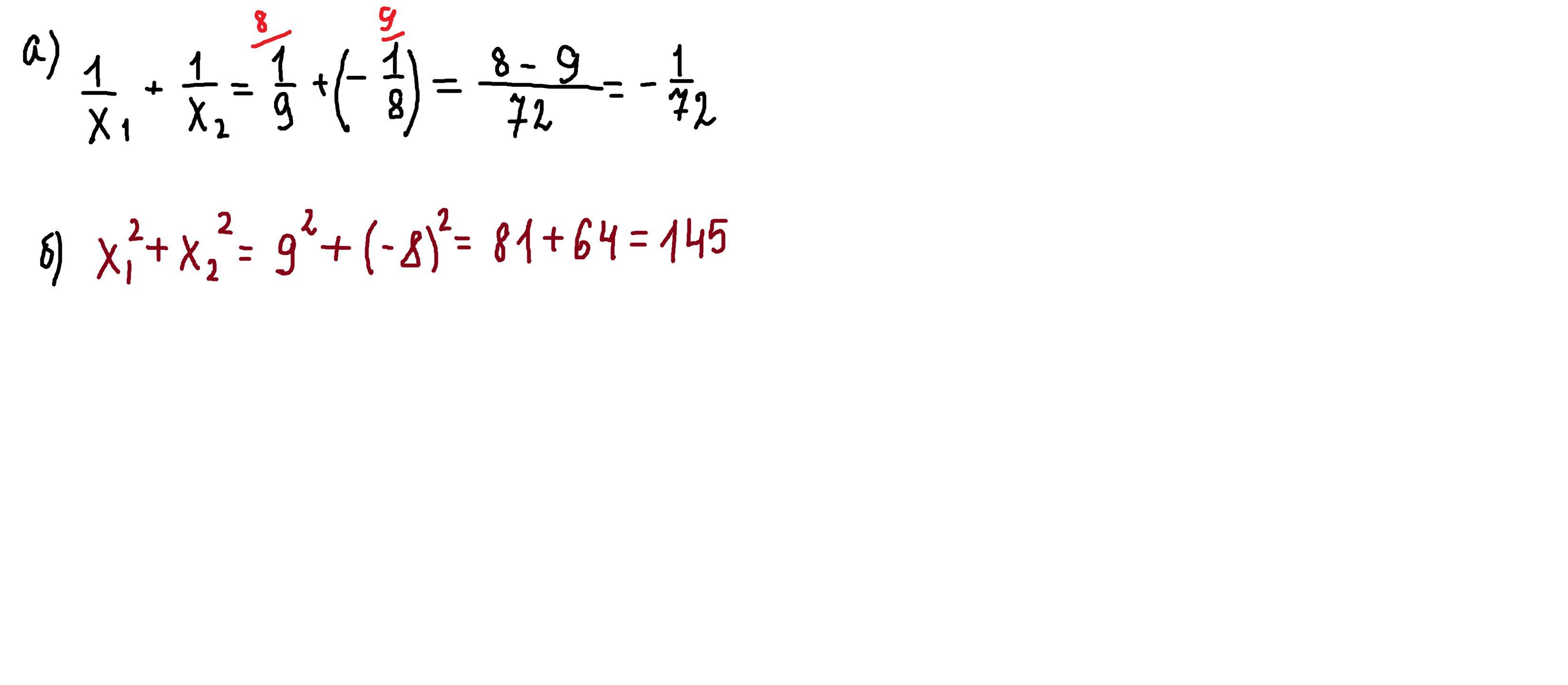
по т.Виета в приведенном кв.уравнении (х²+рх+q=0)
х1+х2=-р
х1*х2=q
в данном случае
х1+х2=1
х1*х2=-72
тогда х1=9 х2= -8
проверим:
9+(-8)= 1
9*(-8)=-72
а) и б) выполнено внизу
Приложения:

Вас заинтересует
2 года назад
3 года назад
3 года назад
8 лет назад
9 лет назад
9 лет назад