• Предмет: Алгебра
  • Автор: alinka9averina
  • Вопрос задан 7 лет назад

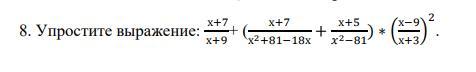
СРОЧНО!! ДАЮ БАЛЛЫ! АЛГЕБРА 8 КЛАСС!

Приложения:

Ответы

Ответ дал: natali198112306
0

Ответ:

1) (x+7)/(x-9)²+(x+5)/(x-9)(x+9)=2(x+3)²/(x-9)²(x+9)

2)  2(x+3)²/(x-9)²(x+9)×(x-9)²/(x+3)²=2/(x+9)

3) (x+7)/(x+9)+2/(x+9)=(x+9)/(x+9)=1

Объяснение:

Вас заинтересует