• Предмет: Алгебра
  • Автор: pilel
  • Вопрос задан 7 лет назад

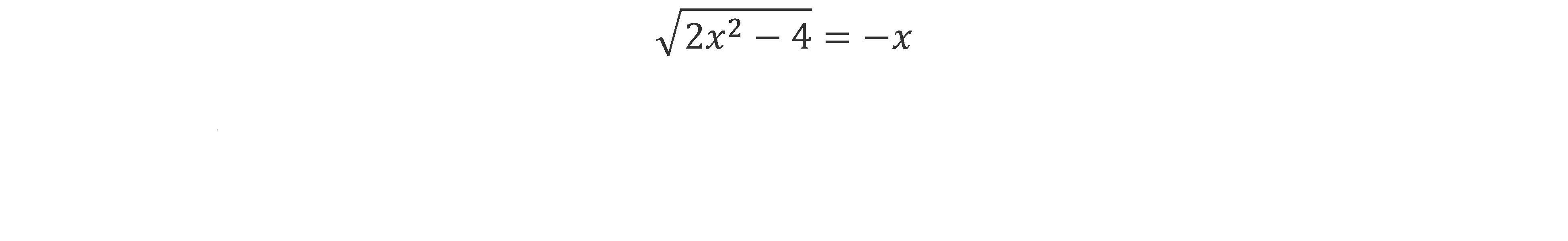
Найдите все корни иррационального уравнения

Приложения:

Ответы

Ответ дал: Avantgardе
0

Подкоренное выражение неравно отрицательному числу, следовательно

\sqrt{2x^2-4}=-x;\qquad ODZ:\ \ x\leq 0\\\\2x^2-4=x^2\\\\2x^2-x^2=4\\\\x^2=4\\\\x=\pm2

По ОДЗ  x\leq 0 , следовательно

Ответ:  x = -2

Вас заинтересует