• Предмет: Алгебра
  • Автор: M1ndMe
  • Вопрос задан 7 лет назад

7класс срочно
выполните пожалуйста, на уроке сижу,срочно надо, даю 30 баллов​

Приложения:

Ответы

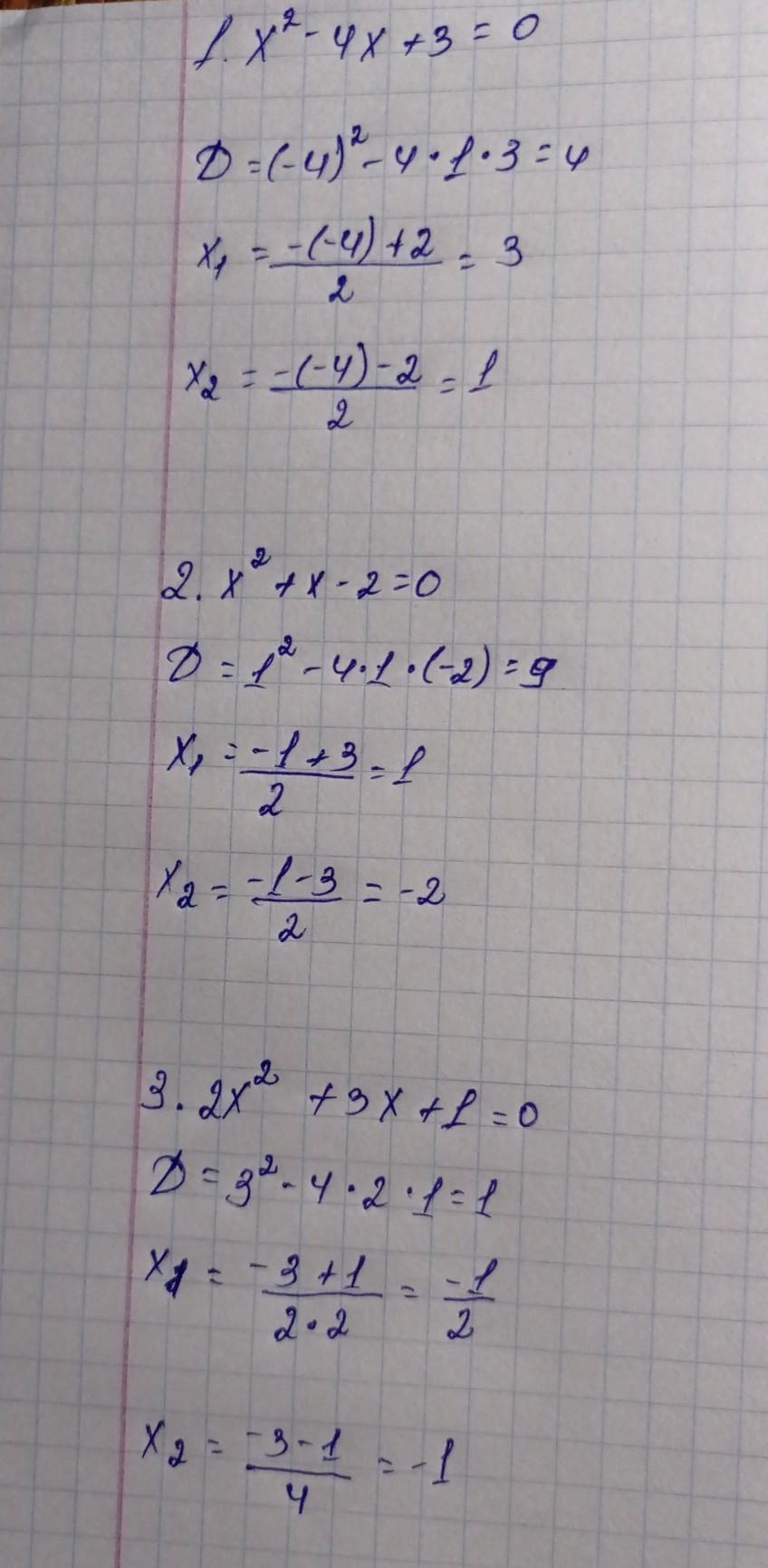
Ответ дал: star5833
0

Ответ:

В 3 - ем задании -1/2 это тоже самое что - 0,5. Но если тебе надо, можешь перевести.

Приложения:
Вас заинтересует