• Предмет: Математика
  • Автор: frits5
  • Вопрос задан 7 лет назад

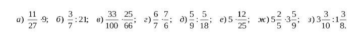
Помогите пожалуйста!!!!!!!! ​

Приложения:

Ответы

Ответ дал: rinashka
0

Ответ:

1. 3 2/3 2. 9 3. 1/8 4. 1 5.

.....

Вас заинтересует