• Предмет: Физика
  • Автор: KristinkaV
  • Вопрос задан 11 лет назад

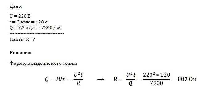
При напряжении 220В в лампе в течение 2мин выделяется 7,2 кДж энергии.Определите сопротивление нити лампы

Ответы

Ответ дал: livres
0
Решение во вложении:
Приложения:
Вас заинтересует