• Предмет: Алгебра
  • Автор: Witherman
  • Вопрос задан 7 лет назад

Помогите с алгеброй! 50 баллов!
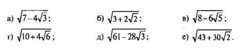
Упростите выражения:

Приложения:

Ответы

Ответ дал: Аноним
1

1)\sqrt{7-4\sqrt{3} }=\sqrt{(2-\sqrt{3})^2 }=2-\sqrt{3}\\\\ 2)\sqrt{3+2\sqrt{2} }=\sqrt{(1+\sqrt{2})^2 }=1+\sqrt{2}\\\\ 3) \sqrt{8-6\sqrt{5} }

Квадратный корень из отрицательного числа не существует на множестве действительных чисел.

4)\sqrt{10+4\sqrt{6} }=\sqrt{(2+\sqrt{6})^2 }=2+\sqrt{6}\\\\ 5)\sqrt{61-28\sqrt{3} }=\sqrt{(7-2\sqrt{3})^2 }=7-2\sqrt{3}\\\\ 6)\sqrt{43+30\sqrt{2} }=\sqrt{(5+3\sqrt{2})^2 }=5+3\sqrt{2}

Вас заинтересует