• Предмет: Алгебра
  • Автор: daurakberlin
  • Вопрос задан 10 лет назад

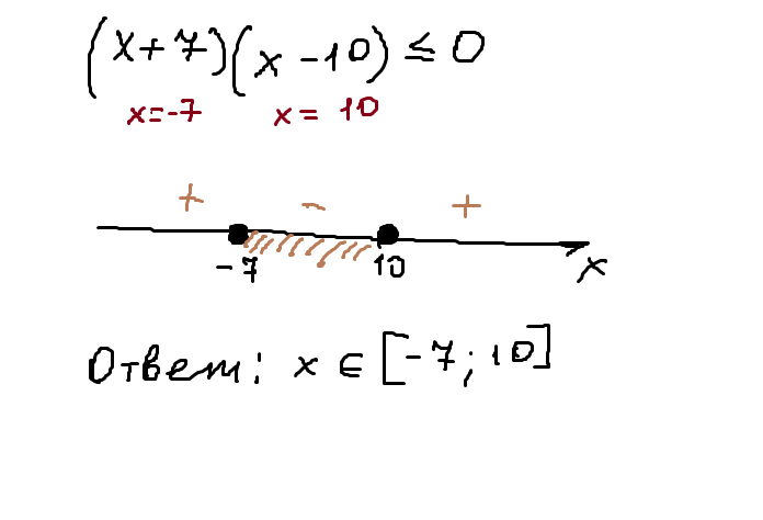
1.решите неравенство (x+7)(x-10)≤0

Ответы

Ответ дал: esmilya
0
Если понравилось решение - нажимай "спасибо" и "лучший" (рядом с кнопкой "спасибо") :)
Приложения:
Ответ дал: daurakberlin
0
Спасибо
Ответ дал: esmilya
0
)))))))))))))
Вас заинтересует