• Предмет: Алгебра
  • Автор: Аноним
  • Вопрос задан 7 лет назад

УМОЛЯЮ СРОЧНО АААААА​ пожалуйста пожалуйста пожалуйста

Приложения:

ElviPro: ку

Ответы

Ответ дал: decvil
1

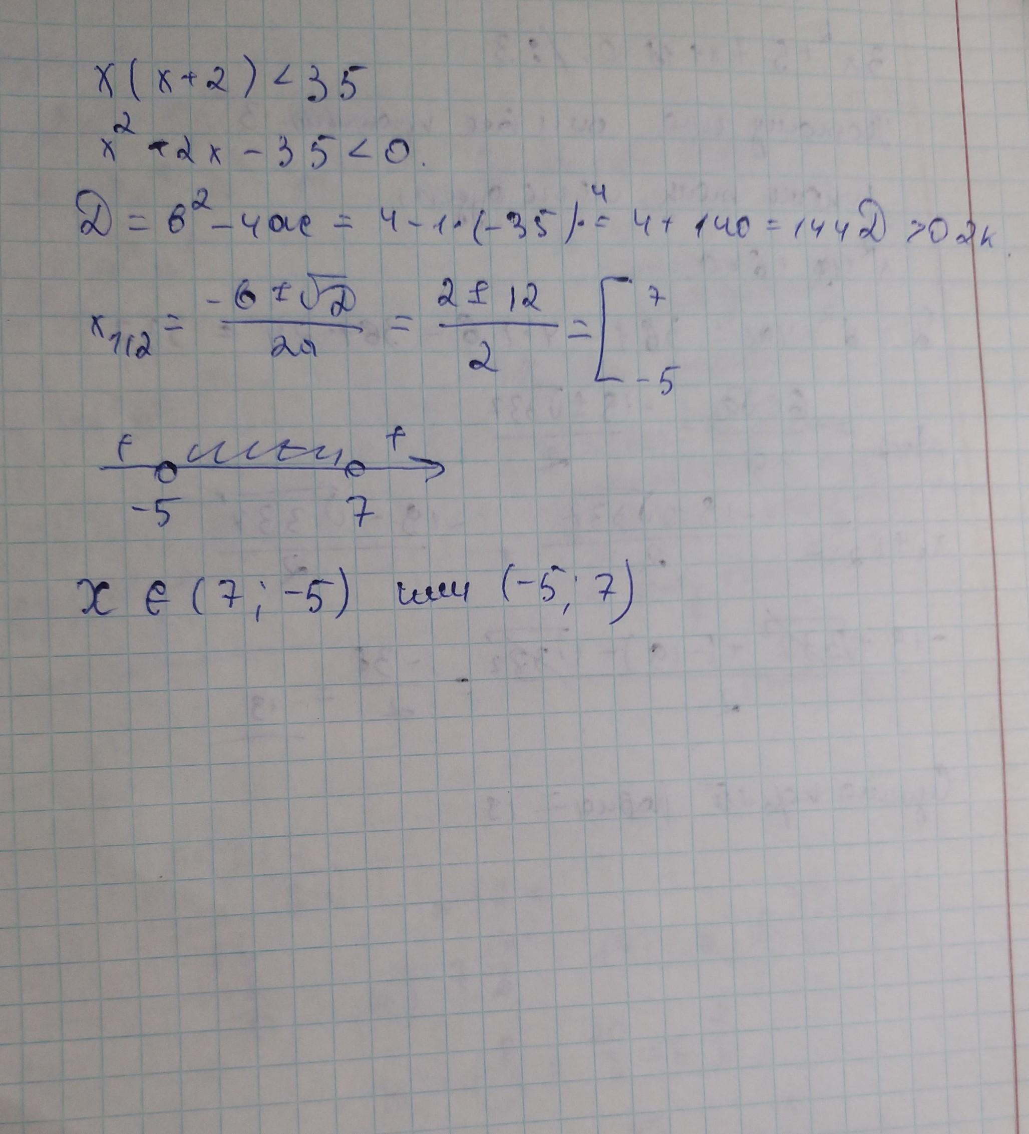
Ответ:

( - 5 \:  7)

Объяснение:

все на фото чётко и понятно лови братик

Приложения:

Аноним: спасибо но я сестра
decvil: хахахахаха ладно прости )
Вас заинтересует