• Предмет: Химия
  • Автор: fedia420
  • Вопрос задан 7 лет назад

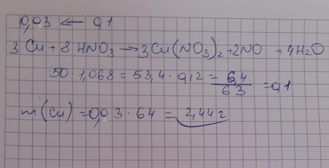
Медь какой массы (г) прореагирует с 50 мл 12%-ного раствора азотной кислоты (плотность = 1,068 г/мл)?

Ответы

Ответ дал: najmiddinovv
0

Ответ:

Ответ на прикреплённой фотографии.

Приложения:

najmiddinovv: Можете отметить мой ответ как лучший ? Буду очень благодарен))
Вас заинтересует