• Предмет: Математика
  • Автор: zuraevsamir
  • Вопрос задан 7 лет назад

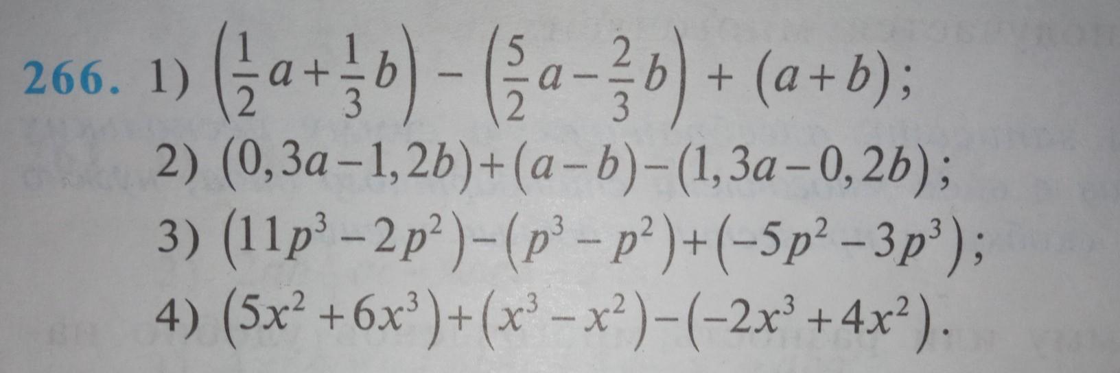
Срочно нужно помогите пожалуйста!​

Приложения:

Ответы

Ответ дал: mundiukkarina69
1

Відповідь:

Покрокове пояснення:

Приложения:

zuraevsamir: Спасибо большое
Вас заинтересует