• Предмет: Алгебра
  • Автор: aruukezaanbaeva
  • Вопрос задан 7 лет назад

найдите значение выражения и запишите ответ ​

Приложения:

Ответы

Ответ дал: manuilovaan
1

Ответ:

пожалуйста обращайся помогу чем смогу

Приложения:
Ответ дал: salmanigora
0

Ответ:

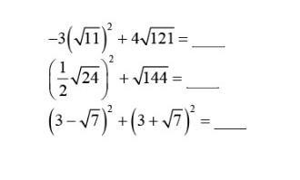
-3(√11) ²+4√121=(-3)•11+4•11=-33+44=11

(1/2√24) ²+√144=0, 5•24+12=12+12=24

(3-√7) ²+(3+√7) ²=9-6√7+7+9+6√7+7=9+7+9+7=32

Вас заинтересует