Ответы
Ответ дал:
1
Ответ:
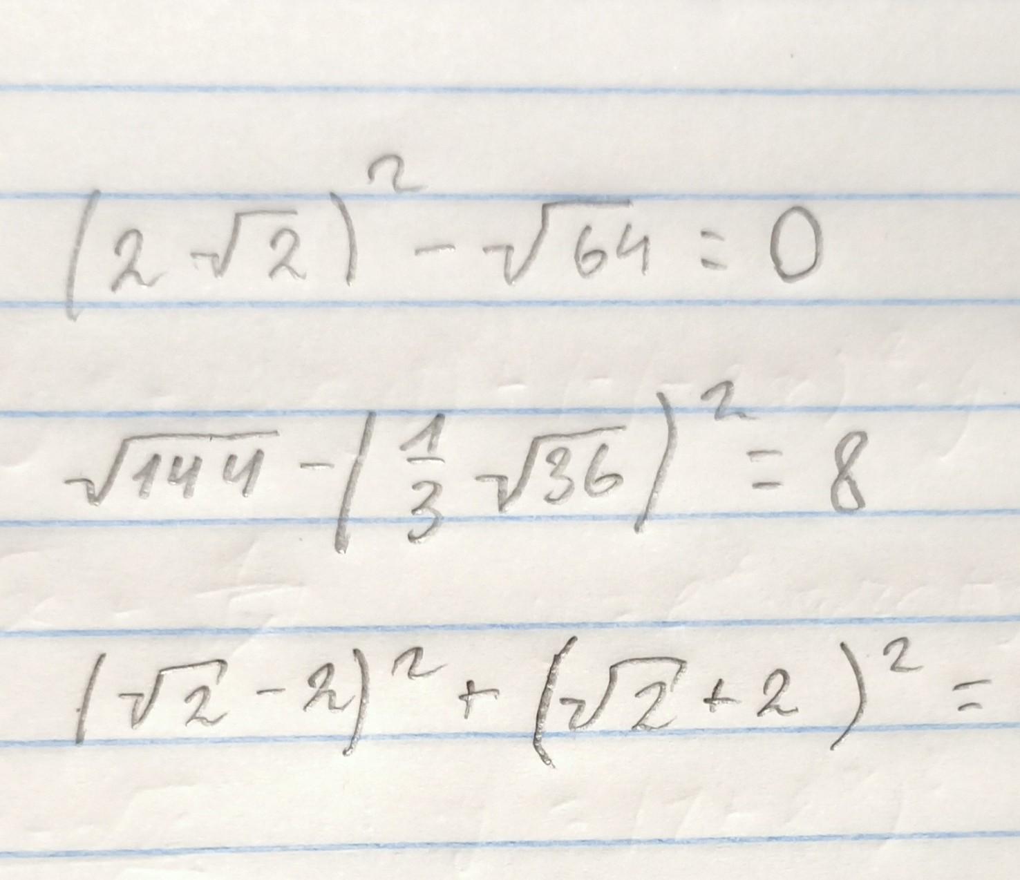
вот ответ на ваш вопрос обращайтесь если что
Приложения:

aruukezaanbaeva:
а чему равно последнее выражение? на фото не видно
Вас заинтересует
2 года назад
2 года назад
3 года назад
9 лет назад