• Предмет: Алгебра
  • Автор: vnastroe15
  • Вопрос задан 7 лет назад

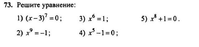
решите пожалуйста с решением, желательно на листочке.​

Приложения:

Ответы

Ответ дал: Аноним
1

1)(x-3)^7=0\\x-3=0\\x=3\\\\ 2)x^9=-1\\x=\sqrt[9]{-1}\\x=-1\\\\ 3)x^6=1\\x_{1}=-1,x_{2}=1\\\\ 4)  x^5-1=0\\x^5=1\\x=1\\\\ 5) x^8+1=0\\

x ∉ R

Вас заинтересует