• Предмет: Алгебра
  • Автор: nikitatixomirov21102
  • Вопрос задан 7 лет назад

помогите срочно решить​

Приложения:

Ответы

Ответ дал: elenamuraweva
0

Ответ:

Подробное решение во вложении

Приложения:
Ответ дал: lexibranson1920
0

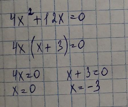
Ответ: или х=0, или (х+3)

Объяснение: 4х2+12х=0    4х(х+3)=0  х= -3

Вас заинтересует