• Предмет: Алгебра
  • Автор: Аноним
  • Вопрос задан 7 лет назад

7 класс! Срочно помогите!!!!! Пожалуйста!!! Номер 534!!!


Приложения:

Ответы

Ответ дал: IdleFri
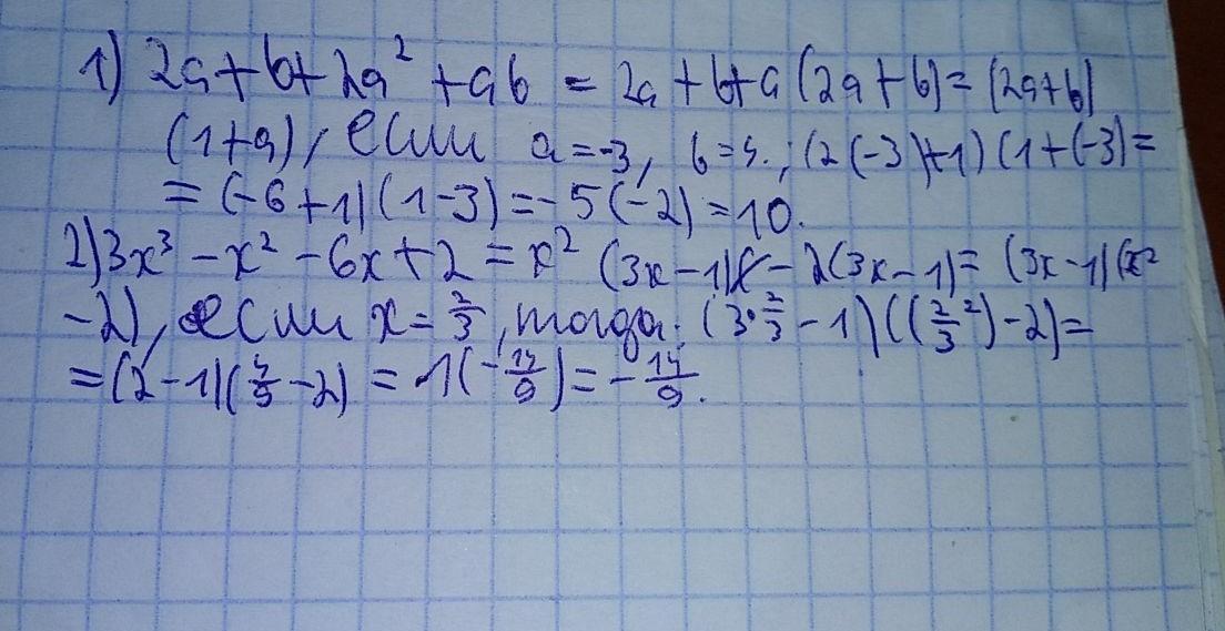
1

Ответ:

решения на фото( o˘◡˘o)

Приложения:

Аноним: Фото нет
IdleFri: ааа ооййй
IdleFri: извини, забываюсь иногда
Аноним: Всё, спасибо
Аноним: Огромнон
Вас заинтересует