• Предмет: Алгебра
  • Автор: savelijcalyj02
  • Вопрос задан 7 лет назад

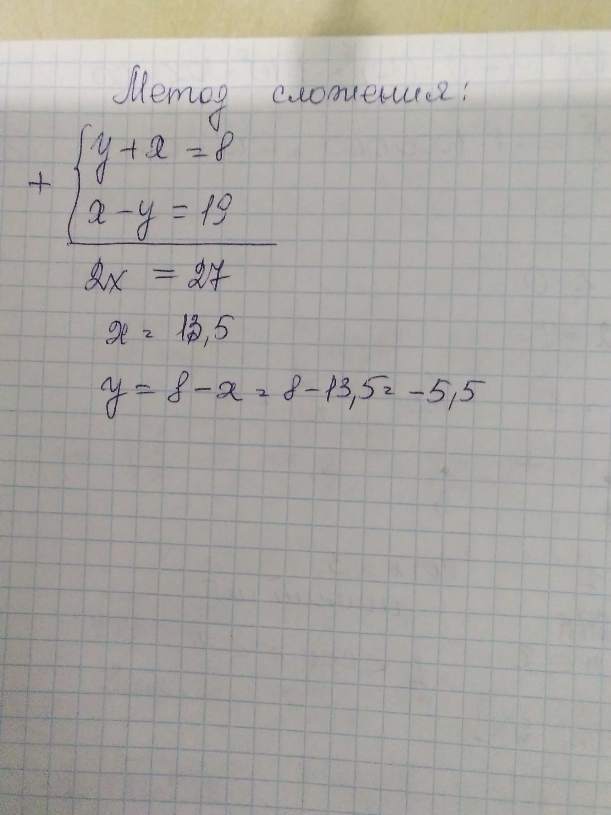
Реши систему уравнений: {y+x=8x−y=19 ( ; ).

Ответы

Ответ дал: MizoriesKun
0

Смотри.......................

Приложения:

ludmilaksenija2005: простите, нечаянно нажала
Ответ дал: ludmilaksenija2005
0

Объяснение:

Метод подстановки :

{У+х=8 у=8-х

{Х-у=19

Х-(8-х)=19

Х-8+х=19

2х=19+8

2х=27

Х=13,5

У=8-13,5= - 5,5

Ответ : (13,5; - 5,5)

Метод сложения:

{У+х=8

{Х-у=19

{У+х=8

{-у+х=19

+ —————

2х= 27

Х= 13,5

У=8-х

У=8-13,5

У= -5,5

Ответ : (13,5 ; - 5,5)

Вас заинтересует