• Предмет: Математика
  • Автор: dzagayotube
  • Вопрос задан 7 лет назад

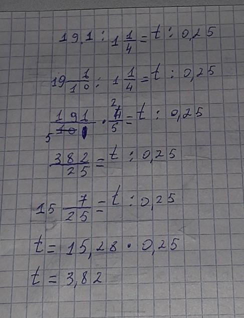
решите уравнение: 19,1 : 1 1/4 = t : 0,25

Ответы

Ответ дал: УчихаСaске
0

Проверено Столбиком моего решение

Приложения:
Вас заинтересует