Ответы
Ответ дал:
1
Ответ:
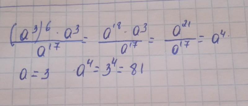
а=3
а⁴=3⁴=81
Вот ответ
Надеюсь помогла
Приложения:

Ответ дал:
0
Ответ:
Объяснение:
на фото
Приложения:

Вас заинтересует
2 года назад
2 года назад
3 года назад
3 года назад
8 лет назад
8 лет назад
9 лет назад
9 лет назад