• Предмет: Математика
  • Автор: aribansdw
  • Вопрос задан 7 лет назад

Помогите, даю 15 баллов

Приложения:

Ответы

Ответ дал: dashulka22222
0

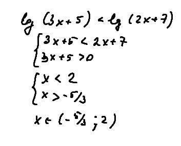
Ответ:

Пошаговое объяснение:

Приложения:
Вас заинтересует