Ответы
Ответ дал:
1
Ответ:
по идее так
Объяснение:
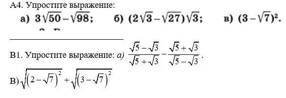
ответ на фотографии с решением
Приложения:

abcde8:
спасибо ,но я уже сам сделал)
Вас заинтересует
2 года назад
3 года назад
8 лет назад
8 лет назад
9 лет назад