11 класс. Высшая математика. 40 баллов. Решить системы линейных уравнений матричным методом вида A × X = B
Приложения:

Ответы
Ответ дал:
1
Ответ:
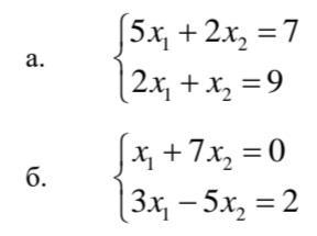
a. {5x, + 2x,, = 7
{2x, + x,, = 9
Приложения:


Вас заинтересует
2 года назад
2 года назад
3 года назад
8 лет назад
8 лет назад
9 лет назад
9 лет назад