Ответы
Ответ дал:
1
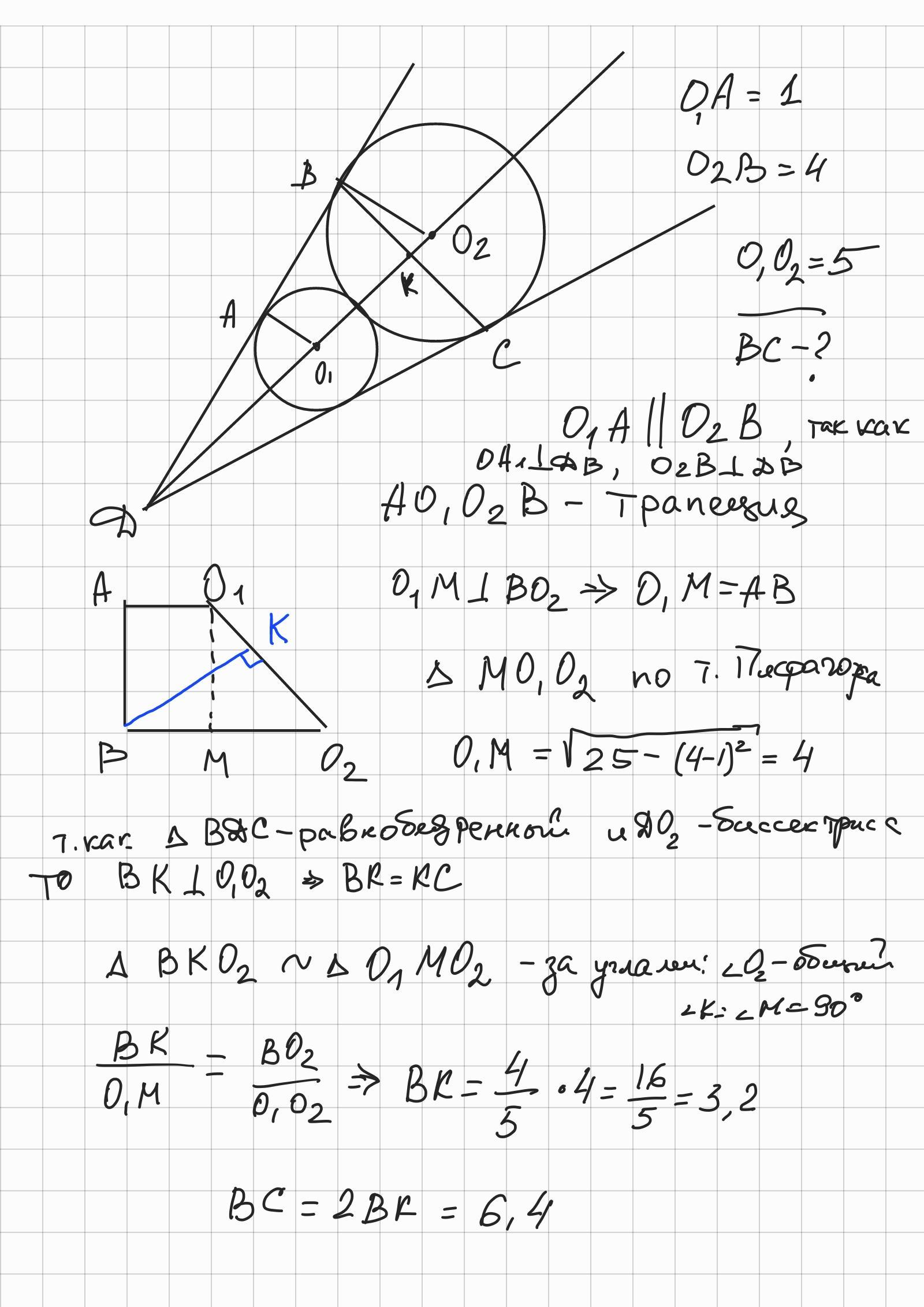
Відповідь:
6.4
Пояснення:
Равноудаленные от сторон угла точки находятся на биссектрисе угла -> центры вписанных окружностей находятся на биссектрисе угла
Приложения:

Вас заинтересует
2 года назад
3 года назад
3 года назад
8 лет назад
8 лет назад
9 лет назад