• Предмет: Математика
  • Автор: Аноним
  • Вопрос задан 7 лет назад

помогите пж с заданием​

Приложения:

Ответы

Ответ дал: drtsv
1
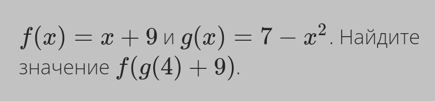
g(4)=7-4^2=7-16=-9.
f(g(4)+9)=f(-9+9)=f(0)=0+9=9.
Ответ: 9.
Ответ дал: olgaua64
0

Відповідь:

9

Покрокове пояснення:

g(4)=7-4²=7-16=-9

f(g(4)+9)=f(0)=0+9=9

Вас заинтересует