• Предмет: Алгебра
  • Автор: Steepbread
  • Вопрос задан 7 лет назад

СРОЧНО! ПОМОГИТЕ РЕШИТЬ!
( Заранее спасибо) )​

Приложения:

Ответы

Ответ дал: uchenik2664
2

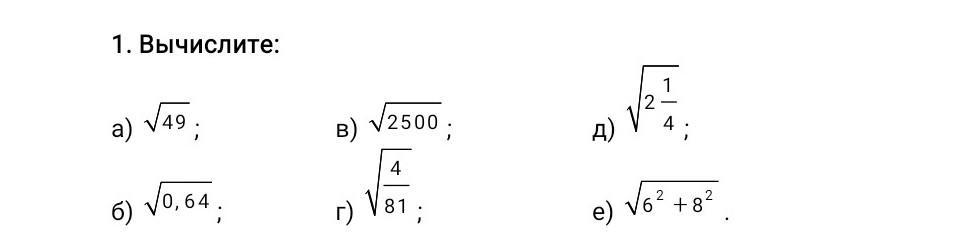
Ответ:

а) 7

б) 0,8

в) 50

г) 2/9

д) 3/2

е) 14

Ответ дал: homer271
1
А)7
Б)0,8
В)50
Г)2/9
Д)3/2
Е)14
Вас заинтересует