• Предмет: Алгебра
  • Автор: antonvasiev2346
  • Вопрос задан 7 лет назад

решите срочно!!!!!!!!​

Приложения:

Ответы

Ответ дал: pro100sayreks
0

Ответ:

80

Объяснение:

степень сократить. 100*8^2=6400

корень из 6400= 80

Ответ дал: drtsv
0
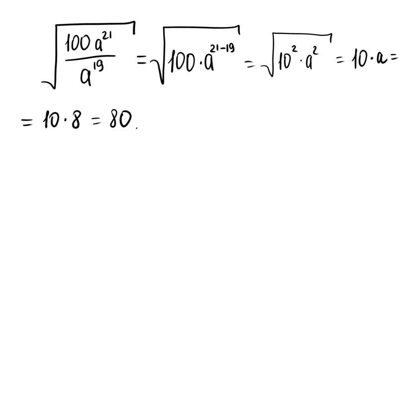
Решение представлено на фото
Приложения:
Вас заинтересует