PYTHON 3

РЕШИТЕ ПОЖАЛУЙСТА ,ДАЮ 100Б
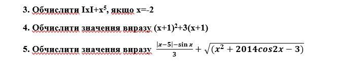
Задание № 3 модуль

Приложения:

lozromanik: в 3 там модуль?
Werty09711: дА
Werty09711: ОТВЕТ ДОЛЖЕН ВЫВОДИТСЯ НА ЭКРАН

Ответы

Ответ дал: lozromanik
2

Відповідь:

Пояснення:

1)

print(abs(-2)+(-2**5))

2)

x=float(input())

print((x+1)**2+3*(x+1))

3)

from math import *

x=float(input())

print((abs(x-5)-sin(x))/3+(x**2+2014*cos(2*x)-3)**0.5)


Werty09711: ОТВЕТ ДОЛЖЕН ВЫВОДИТСЯ НА ЭКРАН
Werty09711: Доделай плизз
mandyXTC: я ж тебе сделал..
lozromanik: эм...оно и выводится кэк
Werty09711: 4 и 5 задания должен ответ выводиться сразу.
lozromanik: ну тогда это математика, а не программирование
Werty09711: помоги
Werty09711: здесь оно используется как формула. А должно считаться и выводить ответ в консоль
Werty09711: здесь оно используется как формула. А должно считаться и выводить ответ в консоль, КРОМЕ ПЕРВОГО
Ответ дал: vimmortal2
0

Программа:

Python:

№1)

x = -2

print(abs(x) + x**5)

№2)

x = float(input())

print((x + 1)**2 + 3 * (x + 1))

№3)

from math import *

x = float(input())

print((abs(x - 5) - sin(x)) / 3 + sqrt(x*x + 2014 * cos(2*x) - 3))


Werty09711: 2,3. НЕверно .Должно сразу считать выражение которое в задание дается
Вас заинтересует