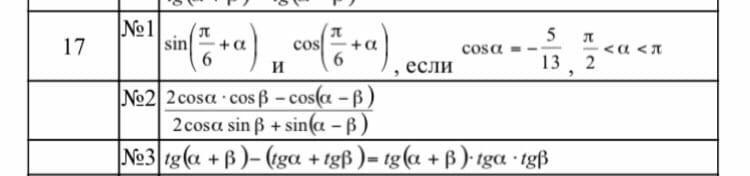
пожалуйста, помогите решить, тригонометрия.
очень срочно нужно, 45 баллов отдам…
Приложения:

fixit123:
могу добавить решение для первого и второго
Ответы
Ответ дал:
1
Ответ:
Пошаговое объяснение:
в первом в cos(pi/6+a) там минус перед дробью и 26 в знаменателе
Приложения:


Вас заинтересует
2 года назад
3 года назад
3 года назад
8 лет назад
8 лет назад
9 лет назад
9 лет назад