100 баллов отдаю!
завтра зачёт, очень срочно нужно, кто хорошо разбирается в тригонометрии - помогите, пожалуйста!
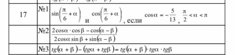
Приложения:

Ответы
Ответ дал:
1
Ответ:
Пошаговое объяснение:
Приложения:


Вас заинтересует
2 года назад
2 года назад
3 года назад
3 года назад
8 лет назад
9 лет назад