• Предмет: Математика
  • Автор: dorofeevvadua
  • Вопрос задан 7 лет назад

можно ответ пж...........................

Приложения:

Ответы

Ответ дал: mariamedvedevael
0

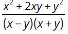
Ответ:

(x+y)/(x-y)

Объяснение:

Формулы сокращённого умножения:

(x+y)²=x²+2xy+y²

Сокращаем и получаем ответ: (x+y)/(x-y)

Вас заинтересует