• Предмет: Математика
  • Автор: asilbekhak
  • Вопрос задан 7 лет назад

помогите пожалуйста разобраться с домашкой​

Приложения:

Ответы

Ответ дал: bel72777
0

Ответ:

Пошаговое объяснение:

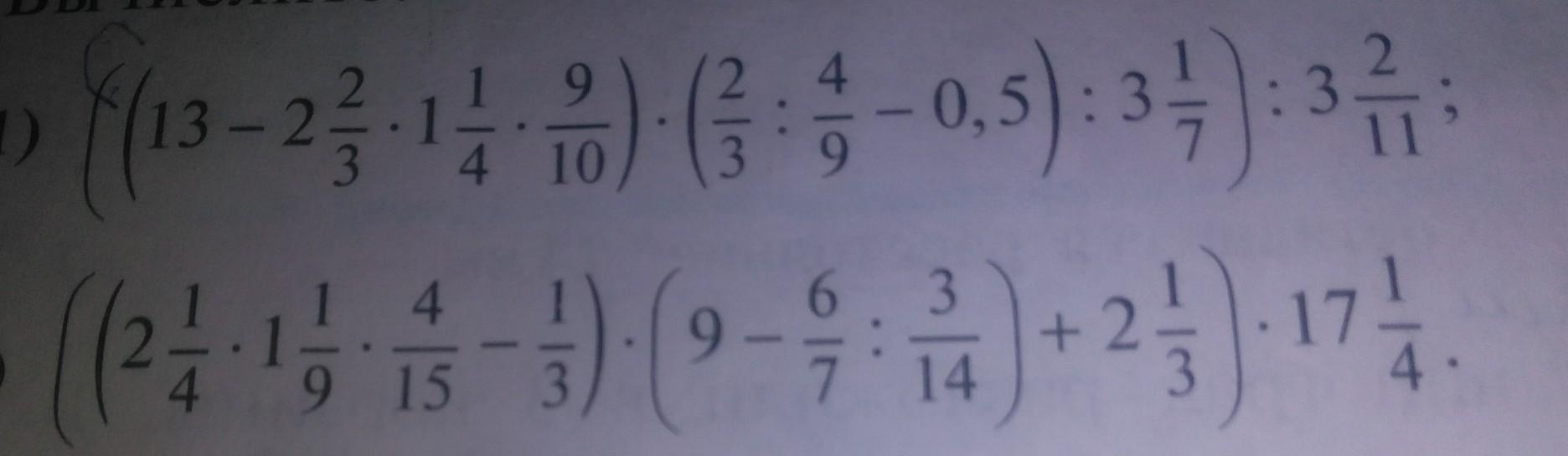
((13-2 2/3·1 1/4·9/10)(2/3 ÷4/9 -0,5)÷3 1/7)÷3 2/11=1

1. -2 2/3·1 1/4·9/10=-8/3 ·5/4 ·9/10=-(2·3)/2=-3

2. 13-3=10

3. 2/3 ÷4/9=2/3 ·9/4=3/2=1,5

4. 1,5-0,5=1

5. 10·1=10

6. 10÷3 1/7=10·7/22=70/22=35/11

7. 35/11 ÷3 2/11=35/11 ·11/35=1

((2 1/4·1 1/9·4/15 -1/3)(9 -6/7 ÷3/14)+2 1/3)·17 1/4=69

1. 2 1/4·1 1/9·4/15=9/4 ·10/9 ·4/15=2/3

2. 2/3 -1/3=1/3

3. 6/7 ÷3/14=6/7 ·14/3=2·2=4

4. 9-4=5

5. 1/3 ·5=5/3=1 2/3

6. 1 2/3+2 1/3=3 3/3=4

7. 4·17 1/4=4·69/4=69

Вас заинтересует