• Предмет: Алгебра
  • Автор: frikeil119
  • Вопрос задан 7 лет назад

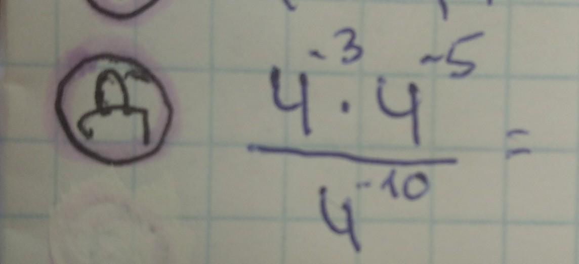
помогите с алеброй. один пример, пожалуйста, срочно...​

Приложения:

Ответы

Ответ дал: ankizivavy
1

Ответ:4 во 2 степени

Объяснение:

Вас заинтересует